Tarifa 3.0TD
El 15 de enero de 2020 se publica la Circular 3/2020 de la de la Comisión Nacional de los Mercados y la Competencia, por la que se establece la metodología para el cálculo de los peajes de transporte y distribución de electricidad, dónde se definen la estructura del peaje para la Tarifa 3.0TD.
Desde el día 1 de junio de 2021 entró en vigor la tarifa 3.0TD.
La Tarifa 3.0TD reemplaza a la Tarifa 3.0A, y uno de los principales cambio es que pasa a tener 6 períodos en potencia y 6 periodos en energía.
Las características de la Tarifa 3.0TD son:
- Esta Tarifa consta de seis términos de potencia contratada y seis términos de energía.
- La tensión de suministros es inferior a 1 kV.
- La potencia contratada es superior a 15 kW en alguno de los seis periodos horarios.
- Las potencias contratadas en los diferentes periodos serán tales que la potencia contratada en un periodo Pn+1 sea siempre mayor o igual que la potencia contratada en el periodo anterior Pn.
Horarios de la Tarifa 3.0TD en Zona Península
La Tarifa 3.0TD tiene una discriminación horaria de seis periodos horarios ( P1 a P6) en función de la temporada, el día de la semana y la hora del día, tanto en potencia como en energía.
Las temporadas para la península son:
- Temporada alta: enero, febrero, julio y diciembre
- Temporada media alta: marzo y noviembre
- Temporada media: junio, agosto y septiembre
- Temporada baja: abril, mayo y octubre
Los tipos de días se clasifican de la siguiente forma:
- Tipo A: de lunes a viernes no festivos de temporada alta.
- Tipo B: de lunes a viernes no festivos de temporada media alta.
- Tipo B1: de lunes a viernes no festivos de temporada media.
- Tipo C: de lunes a viernes no festivos de temporada baja.
- Tipo D: sábados, domingos, festivos y 6 de enero y festivos nacionales no sustituibles, generalmente 01/01, 01/05, 15/08, 12/10, 01/11, 06/12, 08/12 y 25/12.
En los siguientes relojes se muestran los periodos horarios a aplicar en función del Tipo de día.

En la siguiente tabla se muestra un resumen anual, para saber a cada hora de cada día del mes que periodo de P1a P6 se aplica en la Tarifa 3.0TD.

Peajes de transporte, distribución y Cargos aplicados a partir del 1 de Enero de 2026 para la Tarifa 3.0TD.
En la siguiente tabla se muestran los peajes de acceso a las redes de transporte y distribución y los cargos para el término de potencia contratada aplicados a partir del 1 de enero de 2026 hasta el 31 de diciembre de 2026.
Los Peajes se publican en la Resolución de 18 de diciembre de 2025, de la Comisión Nacional de los Mercados y la Competencia, por la que se establecen los valores de los peajes de acceso a las redes de transporte y distribución de electricidad de aplicación a partir del 1 de enero de 2026.
Los Cargos se publican en la Orden TED/1524/2025, de 23 de diciembre, por la que se establecen los precios de los cargos del sistema eléctrico y se establecen diversos costes regulados del sistema eléctrico para el ejercicio 2026.
Peajes de transporte, distribución y Cargos del Término de la Potencia Contratada [€/KW/Año] para la Tarifa 3.0TD
En la siguiente tabla se muestra los peajes de transporte, distribución y cargos para el término de Potencia en €/KW/Año, aplicados a partir del 1 de Enero de 2026.
| TARIFA | PERIODO P1 | PERIODO P2 | PERIODO P3 | PERIODO P4 | PERIODO P5 | PERIODO P6 |
|---|---|---|---|---|---|---|
| 2.0TD | 27,704413 | 0,725423 | ||||
| 3.0TD | 20,376927 | 10,617621 | 4,481534 | 3,886333 | 2,513851 | 1,442287 |
| 6.1TD | 29,595368 | 15,514709 | 6,801881 | 5,393829 | 2,125113 | 1,004181 |
| 6.2TD | 20,103588 | 11,115668 | 3,709113 | 2,728152 | 1,265617 | 0,605381 |
| 6.3TD | 13,053392 | 7,587863 | 3,062065 | 2,332116 | 1,010041 | 0,481394 |
| 6.4TD | 7,905445 | 4,585787 | 1,460005 | 1,15856 | 0,492827 | 0,230511 |
Peajes de transporte, distribución y Cargos del Término de la Potencia Contratada [€/KW/Año]
Peajes de transporte, distribución y Cargos del Término de la Potencia Contratada [€/KW/Día] para la Tarifa 3.0TD
En la siguiente tabla se muestra los peajes de transporte, distribución y cargos para el término de Potencia en €/KW/Día, aplicados a partir del 1 de Enero de 2026.
| Tarifa Acceso | P1 | P2 | P3 | P4 | P5 | P6 |
|---|---|---|---|---|---|---|
| 2.0TD | 0,075903 | 0,001987 | ||||
| 3.0TD | 0,055827 | 0,029089 | 0,012278 | 0,010647 | 0,006887 | 0,003951 |
| 6.1TD | 0,081083 | 0,042506 | 0,018635 | 0,014778 | 0,005822 | 0,002751 |
| 6.2TD | 0,055078 | 0,030454 | 0,010162 | 0,007474 | 0,003467 | 0,001659 |
| 6.3TD | 0,035763 | 0,020789 | 0,008389 | 0,006389 | 0,002767 | 0,001319 |
| 6.4TD | 0,021659 | 0,012564 | 0,004000 | 0,003174 | 0,001350 | 0,000632 |
Peajes de transporte, distribución y Cargos del Término de la Potencia Contratada [€/KW/Día]
Peajes de transporte, distribución y Cargos del Término de la Energía para la Tarifa 3.0TD
En la siguiente tabla se muestra los peajes de transporte, distribución y cargos para el término de energía en €/KWh, aplicados a partir del 1 de Enero de 2026.
| Tarifa Acceso | P1 | P2 | P3 | P4 | P5 | P6 |
|---|---|---|---|---|---|---|
| 2.0TD | 0,097553 | 0,029267 | 0,003292 | |||
| 3.0TD | 0,063352 | 0,038914 | 0,019279 | 0,009795 | 0,004706 | 0,002898 |
| 6.1TD | 0,046274 | 0,026717 | 0,012928 | 0,006678 | 0,002619 | 0,001588 |
| 6.2TD | 0,023880 | 0,013975 | 0,006200 | 0,003083 | 0,001234 | 0,000752 |
| 6.3TD | 0,018775 | 0,010876 | 0,004992 | 0,002494 | 0,001009 | 0,000614 |
| 6.4TD | 0,011275 | 0,006055 | 0,002597 | 0,001286 | 0,000403 | 0,000232 |
Peajes de transporte y distribución del Término de energía [€/kWh]
(NOTA: Estos precios no son el precio final que paga el cliente, son los peajes de transporte, distribución y cargos para la Tarifa 3.0TD)
Para solicitar oferta de precios a medida, enviar un mail a : info@energigreen.com o visite la web de ofertas de electricidad.
Tarifas eléctricas para recarga de vehículos eléctricos en 2026
En función de la tensión y el tipo de instalación, existen tres tarifas específicas:
3.0 TDVE → recarga en baja tensión (≤ 1 kV)
6.1 TDVE → recarga en media tensión (< 30 kV)
6.2 TDVE → recarga en alta tensión (< 72,5 kV)
⚠️ Importante:
No existe tarifa específica 2.0TDVE.
Para recarga pública en baja tensión se utiliza 3.0 TDVE + cargos 2 VE.
Peajes de transporte, distribución y Cargos del Término de la Potencia Contratada [€/KW/Año]
| Peaje T&D y cargos | P1 | P2 | P3 | P4 | P5 | P6 |
|---|---|---|---|---|---|---|
| 3.0 TDVE + 2 VE | 3,727958 | 1,968328 | 0,623462 | 0,471799 | 0,130238 | 0,130238 |
| 6.1 TDVE + 3 VE | 5,523814 | 2,926765 | 1,09528 | 0,770513 | 0,016375 | 0,014472 |
| 6.2 TDVE + 3 VE | 3,773717 | 2,125824 | 0,562648 | 0,342155 | 0,01335 | 0,011815 |
Peajes de transporte, distribución y cargos del término de potencia para recarga VE [€/kW ·año]
Peajes de transporte, distribución y Cargos del Término de la Energía [€/kWh]
| Peaje T&D y cargos | P1 | P2 | P3 | P4 | P5 | P6 |
|---|---|---|---|---|---|---|
| 3.0 TDVE + 2 VE | 0,187451 | 0,106578 | 0,050751 | 0,026122 | 0,010216 | 0,006227 |
| 6.1 TDVE + 3 VE | 0,222504 | 0,119324 | 0,0554 | 0,028975 | 0,008585 | 0,005084 |
| 6.2 TDVE + 3 VE | 0,168178 | 0,097617 | 0,042963 | 0,021361 | 0,008321 | 0,005055 |
Peajes de transporte, distribución y cargos del Término de Energía para recarga de VE [€/kWh]
Qué significan estos valores
Los peajes y cargos son costes regulados que se aplican a todas las comercializadoras por igual.
👉 No se pueden negociar
👉 Son iguales para todos los clientes
¿Qué incluyen los cargos del sistema?
Los cargos del sistema eléctrico incluyen diferentes costes regulados necesarios para garantizar el funcionamiento del sistema eléctrico.
Entre ellos se encuentran:
Costes de energías renovables
Déficit del sistema
Sistemas extrapeninsulares
Pagos por capacidad
¿Qué son los pagos por capacidad?
Los pagos por capacidad son un coste incluido en el término de energía que remunera a las centrales eléctricas por estar disponibles cuando el sistema lo necesita.
Su objetivo es garantizar la seguridad del suministro eléctrico
Importante
Los pagos por capacidad ya están incluidos dentro de los cargos del sistema mostrados en las tablas, por lo que no deben añadirse de forma adicional.
Facturación Excesos de Potencia o Potencia demandada para la Tarifa 3.0TD
La facturación de los excesos de potencia en la Tarifa 3.0TD, se definen en función del tipo de punto de medida o contador que tengan instalado.
Puntos de medida tipo 4 (potencia contratada 15 < P ≤ 50kW)
y Tipo 5 con Modo Maximetro para la Tarifa 3.0TD
En los puntos de medida tipo 4 (potencia contratada 15 < P ≤ 50kW) el control de la potencia demandada se realizará mediante la instalación de los correspondientes aparatos de medida que registrarán la potencia cuarto horaria máxima demandada en cada período tarifario
En el caso de que la potencia demandada sobrepase en cualquier período horario el 105 por 100 de la potencia contratada en el mismo, se procederá, además, a la facturación los excesos registrados en cada período, de acuerdo con lo siguiente:
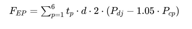
Fórmula de excesos de potencia (con días incluidos)

Fórmula de excesos de potencia Tipo Medida 4 y 5
Significado de los términos:
FEP → Facturación por excesos de potencia (€)
tp → Precio del exceso de potencia (€/kW·día)
d → Número de días del periodo de facturación
Pdj → Potencia demandada máxima en el periodo (kW)
Pcp → Potencia contratada en el periodo (kW)
1,05 → Margen del 5% sin penalización
- p → Número de periodos horarios de los que consta el término de facturación de potencia del peaje correspondiente.
Precio del término de exceso de potencia Tp para puntos de medida tipo 4 y 5 (€/kW·día) para la Tarifa 3.0TD
Los precios del término del exceso de potencia tp (€/kW y día) de aplicación a los consumidores a los que les resulte de aplicación el método de facturación establecido en el artículo 9.4.b.1 de la Circular 3/2020 (puntos de suministro con tipo medida 4 y 5) son los siguientes:
| Tarifa | P1 | P2 | P3 | P4 | P5 | P6 |
|---|---|---|---|---|---|---|
| 2.0TD | 0,279426 | 0,005316 | — | — | — | — |
| 3.0TD | 0,171373 | 0,090584 | 0,028721 | 0,021891 | 0,006142 | 0,006142 |
| 6.1TD | 0,275735 | 0,146094 | 0,054668 | 0,038455 | 0,000817 | 0,000722 |
| 6.2TD | 0,173206 | 0,097562 | 0,025825 | 0,015703 | 0,000612 | 0,000542 |
| 6.3TD | 0,238584 | 0,143616 | 0,048105 | 0,031355 | 0,001018 | 0,000889 |
| 6.4TD | 0,186364 | 0,111026 | 0,027859 | 0,019355 | 0,000575 | 0,000394 |
Término exceso de potencia (tp) (€/KW y día) para puntos de medida tipo 4 y 5 aplicados a partir del 1 de enero de 2026
Los valores de Tp corresponden al precio regulado del exceso de potencia aplicable a los suministros con tipo de medida 4 y 5, de acuerdo con la normativa vigente.
Este importe se expresa en €/kW y día y se utiliza en la fórmula de cálculo de la penalización por excesos de potencia.
Como puede observarse, el coste del exceso varía según la tarifa de acceso y el periodo horario, siendo normalmente más elevado en los periodos punta y mucho más reducido en los periodos valle.
Ejemplo real de cálculo de exceso de potencia para la Tarifa 3.0TD
Supongamos un suministro con tarifa 3.0TD, una potencia contratada de 17,321 kW y los siguientes registros de potencia demandada máxima:
P1: 39,74 kW
P2: 36,82 kW
P6: 18,54 kW
Como la normativa permite un margen del 5% sobre la potencia contratada, el límite sin penalización sería de 18,18705 kW. A partir de ese valor, el exceso se factura aplicando el precio Tp correspondiente a cada periodo, multiplicado por los días de facturación y por un factor 2.
En un periodo de 28 días, la penalización total ascendería a 485,26 €, mientras que en un periodo de 30 días sería de 519,92 €. La mayor parte del coste se concentra en P1 y P2, mientras que el impacto en P6 es prácticamente residual para la Tarifa 6.1TD.
Puntos de Media tipo 1, 2 y 3 (potencia contratada > 50kW) para la Tarifa 3.0TD
En los suministros con puntos de medida tipo 1, 2 y 3 (potencia contratada superior a 50 kW), la facturación de los excesos de potencia se determina a partir de las mediciones cuarto-horarias registradas por el equipo de medida.
Para cada periodo tarifario, se analiza la potencia demandada en cada cuarto de hora (Pdj) y se compara con la potencia contratada (Pcp). Cuando se produce un exceso, este se penaliza de forma individual en cada intervalo.
El coste del exceso se calcula aplicando el término de exceso de potencia (tep), ajustado mediante el coeficiente de periodo (Kp), definidos por la normativa vigente. Este sistema tiene como objetivo reflejar el uso real de la red y desincentivar la contratación de potencias inferiores a las realmente necesarias.
En caso de que el equipo de medida no disponga de registro cuarto-horario, se considerará una potencia constante en todos los intervalos, lo que puede suponer una mayor penalización económica.
A continuación, se muestra la fórmula de cálculo aplicable.

Donde:
- FEP: Facturación en concepto de excesos de potencia.
- Kp: Relación de precios por periodo horario p, calculada como el cociente entre el término de potencia del periodo p respecto del término de potencia del periodo 1 del peaje correspondiente.
- tep: Término de exceso de potencia, expresado en €/kW, del peaje correspondiente.
El término del exceso de potencia, se determinará de forma que, dado el perfil del consumidor medio de cada peaje, la facturación de acceso que resulte de la optimización de las potencias sea equivalente a la facturación de acceso que resultaría de considerarlas potencias contratadas máximas de cada periodo, con la restricción de que la facturación de acceso que resulta para el periodo 1 tras la optimización nunca sea negativa. El término resultante se incrementará en un 20 % al objeto de desincentivar la contratación de potencias inferiores a las realmente demandadas. - Pdj: Potencia demandada en cada uno de los cuartos de hora j del período horario p en que se haya sobrepasado Pcp, expresada en kW. En el caso de que el equipo de medida no disponga de capacidad de registro cuartohoraria, se considerará la misma potencia demandada en todos los cuartos de hora.
- Pcp: Potencia contratada en el período horario p, expresada en kW.
- i: Número de periodos horarios de los que consta el término de facturación de potencia del peaje correspondiente.
Los precios del término del exceso de potencia (tep) (€/KW) definidos en la Resolución de 18 de diciembre de 2025, de la Comisión Nacional de los Mercados y la Competencia, por la que se establecen los valores de los peajes de acceso a las redes de transporte y distribución de electricidad de aplicación a partir del 1 de enero de 2026. aplicados a partir del 1 de enero de 2026 hasta el 31 de diciembre de 2026 son :
| Tarifa | P1 | P2 | P3 | P4 | P5 | P6 |
|---|---|---|---|---|---|---|
| 2.0TD | 2,968850 | 0,056473 | – | – | – | – |
| 3.0TD | 3,325715 | 1,757877 | 0,557353 | 0,424794 | 0,119179 | 0,119179 |
| 6.1TD | 3,431797 | 1,818277 | 0,680379 | 0,478581 | 0,010172 | 0,008984 |
| 6.2TD | 3,243495 | 1,826897 | 0,483612 | 0,294055 | 0,011467 | 0,010143 |
| 6.3TD | 3,063808 | 1,844204 | 0,617738 | 0,402624 | 0,013069 | 0,011406 |
| 6.4TD | 2,736629 | 1,630338 | 0,409096 | 0,284221 | 0,008441 | 0,005787 |
Término exceso de potencia (tep) (€/KW) para Puntos de Media tipo 1, 2 y 3
Los valores mostrados corresponden al término de exceso de potencia (tep) aplicable a los suministros con puntos de medida tipo 1, 2 y 3 (potencia contratada superior a 50 kW) para la Tarifa 3.0TD.
A diferencia de los suministros con maxímetro, en estos casos:
El exceso se calcula en base a medidas cuarto-horarias reales
El precio del exceso se define en €/kW (no €/kW·día)
Se aplica junto con el coeficiente Kp de cada periodo
👉 Esto implica que el impacto económico depende directamente de la frecuencia y magnitud de los picos de potencia.
Los valores del coeficiente Kp (adimensional) se obtienen a partir de la relación entre el término de potencia del peaje de transporte y distribución de cada periodo y el valor del periodo P1 de la misma tarifa. Este coeficiente se utiliza en el cálculo de los excesos de potencia para los puntos de medida tipo 1, 2 y 3, y permite ponderar económicamente cada periodo horario según su coste regulado.:
| Tarifa | P1 | P2 | P3 | P4 | P5 | P6 |
|---|---|---|---|---|---|---|
| 2.0TD | 1,000000 | 0,019026 | — | — | — | — |
| 3.0TD | 1,000000 | 0,528576 | 0,167592 | 0,127739 | 0,035843 | 0,035843 |
| 6.1TD | 1,000000 | 0,529836 | 0,198265 | 0,139465 | 0,002964 | 0,002618 |
| 6.2TD | 1,000000 | 0,563272 | 0,149100 | 0,090662 | 0,003536 | 0,003128 |
| 6.3TD | 1,000000 | 0,601952 | 0,201627 | 0,131421 | 0,004267 | 0,003724 |
| 6.4TD | 1,000000 | 0,595747 | 0,149489 | 0,103858 | 0,003084 | 0,002115 |
Coeficiente Kp (adimensional)
Como puede observarse, el periodo P1 actúa como referencia con valor 1, mientras que el resto de periodos tienen un peso inferior. Esto significa que un exceso de potencia en P1 tiene un impacto económico mucho mayor que un exceso equivalente en P5 o P6, especialmente en tarifas 6.1TD, 6.2TD, 6.3TD y 6.4TD
Facturación de Energía Reactiva para la Tarifa 3.0TD
En la Tarifa 3.0TD, la facturación por energía reactiva se aplicará sobre todos los períodos horarios, excepto en el período 6, siempre que el consumo de energía reactiva exceda el 33 por 100 del consumo de activa
durante el período de facturación considerado y únicamente afectará a dichos excesos.
En resumen, se facturará la energía reactiva en los periodos de P1 a P5, siempre que el cos φ sea inferior a 0,95.
Determinación de cos φ
El factor de potencia o cos φ viene definido por la relación existente entre la energía activa (Ea) y la energía reactiva (Er) en cada uno de los periodos horarios y se calcula conforme a la siguiente fórmula:

Donde:
- Ea: Cantidad registrada por el contador de energía activa, expresada en kWh.
- Er: Cantidad registrada por el contador de energía reactiva, expresada en kVArh.
Para el cálculo de la energía reactiva (Er) los equipos de medida registran la energía reactiva de los cuadrantes I (QR1) y IV (QR4) por cada período horario. La energía reactiva será el saldo neto obtenido como diferencia entre las energías reactivas de los cuadrantes QR1 y QR4. Si la diferencia es positiva, el factor de potencia es inductivo. En caso de resultar negativa, el factor de potencia es capacitivo.
Los valores de esta fórmula se determinarán con dos cifras decimales y el redondeo se hará por defecto o por exceso, según que la tercera cifra decimal despreciada sea o no menor que 5.
| Periodos | Cos Fi | €/kVArh |
|---|---|---|
| Periodos 1 a 5 | Cos Fi > 0,95 | 0,000000 |
| Periodos 1 a 5 | 0,80 ≤ cos Fi < 0,95 | 0,041554 |
| Periodos 1 a 5 | cos Fi < 0,80 | 0,062332 |
Precios de los términos de energía reactiva inductiva para la Tarifa 3.0TD
| Periodos | cos φ | €/kVArh |
|---|---|---|
| P6 | cos φ < 0,98 | 0,000000 |
Precios de los términos de energía reactiva capacitiva para la Tarifa 3.0TD
Para más información puede consultar las páginas del BOE o CNMC.
Consejos para ahorrar en la factura de electricidad y gas natural:
- Pagar el precio de la luz más barato.
- Pagar el precio del Gas Natural más barato.
- Contratar la potencia óptima.
- Calcula tu proyecto de Autoconsumo
- Autoconsumo compartido en comunidades de propietarios
- Contratar contrato eventual para suministros de temporada.
- Instalar un contador con telemedida para poder saber cuando se consume la electricidad

